雷霆远征 仲裁者兵种攻略【详解】

游戏攻略 发布日期:2026/1/15 浏览次数:1

正在浏览:雷霆远征 仲裁者兵种攻略【详解】

《雷霆远征》游戏中仲裁者兵种怎么样?仲裁者是游戏中的核心,控制着整体的战斗节奏,很多玩家表示不知道仲裁者的特色是什么,那么接下来小编为大家带来《雷霆远征》仲裁者兵种攻略,一起来看看吧。

一、仲裁者的定位和作用

1、兵种定位

在原铸星际战士部队中,存在着一个核心力量——仲裁者,他们依靠着更强的身体与更先进的装备弥补了与其他星际战士部队之间的经验差距,在一个队伍中因为有了他们,才有了爆炸的输出伤害,并且自从仲裁者们被原体基利曼启用以来,他们就用手中的暴矢步枪证明着自己同样是帝皇怒火的化身。

作为一个攻击能力大于先锋老兵,处于中上水准的兵种,前期发育他也是个不错的选择。但同时存在着双刃剑,和较高的输出相比,仲裁者的防御能力较低,在战斗中容易成为最快被消耗的对象,因此不适合于在目标血量较高的时候出场,可以考虑在敌方残血时给出致命一击。

2、被动技能

仲裁者的两个被动技能同样值得关注,火力压制可以对先锋老兵伤害增加15%,坦克者能对猎食者伤害增加20%。

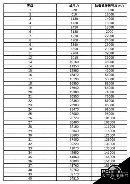
二、先锋老兵的等级与属性

虽然看上去仲裁者的攻击力还不错,可以被归为输出类型,但他的防御能力却是最低的,并且在前期和先锋老兵、无畏机甲的攻击力相差不大。

雷霆远征  仲裁者兵种攻略【详解】

在消耗晋级资源上,相较于先锋老兵和无畏机甲,仲裁者需要的金属数量是最多的,在前期金属获取效率不高的情况下,如果过多的利用金属去发育仲裁者,并不是一件性价比高的事情,甚至会影响到整体的发展进度。

但是,从上面的属性数据来看,仲裁者要发育到level 5才能有明显的攻击提升,和先锋老兵以及无畏机甲拉开差距,所以他的爆发是在中后期的,因此,在前期不太推荐优先训练仲裁者。